Driven by quality, powered by technology, distinguished by service!
Customized Phenyl Silicone Oil
< >

Overview

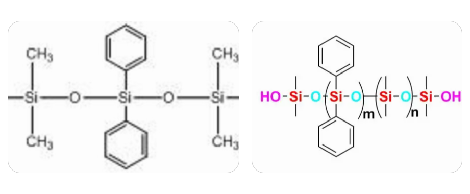
Compared with conventional phenyl silicone oils, customized phenyl silicone oil exhibits superior low-temperature resistance, with a wider service temperature range (–120 °C to 280 °C). It is a modified phenyl silicone oil designed for applications requiring exceptional low-temperature performance. Depending on the functionality required, phenyl silicone oils with methyl, hydroxyl, or vinyl groups demonstrate excellent adaptability for various uses.

Applications

As a structural control agent in phenyl silicone rubbers.

As a raw material for room-temperature vulcanized (RTV) silicone formulations.

Vinyl-modified types serve as critical additives in silicone rubbers and as raw materials for liquid phenyl silicones or platinum-cured RTV silicones.

Methyl-modified types are widely used in diffusion pump oils, heat transfer oils, and damping oils.

Phenyl silicone oils also provide certain ablation resistance, making them highly suitable for aerospace and defense applications.

Product Features

Very high refractive index and excellent light transmittance.

Wider operating temperature range compared to conventional oils.

Excellent damping and radiation resistance properties.

Outstanding heat resistance.

High consistency, low volatility, odorless, and excellent thermal stability.

Related Parameters