定制苯基硅油
概述
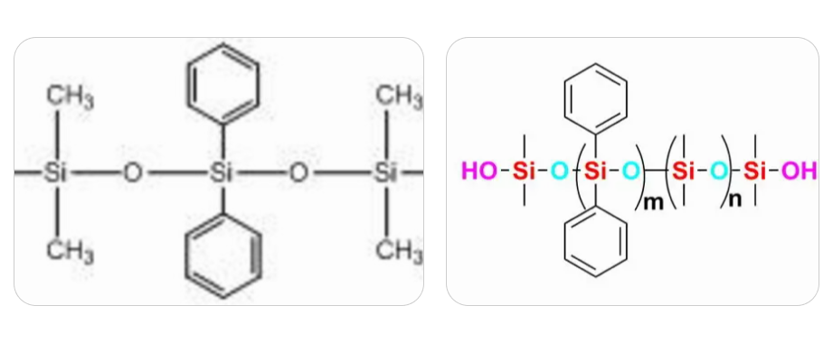
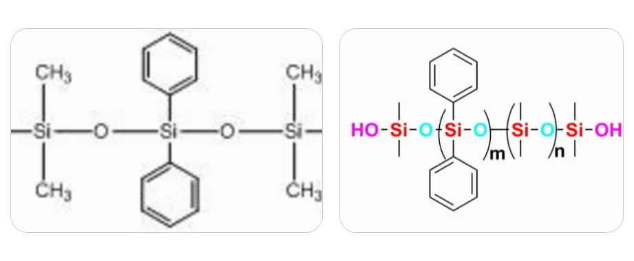
苯基硅油比普通苯基硅油具有更好的耐低温性能,工作温度区间比普通苯基硅油更宽(-120℃-280℃),是用于耐低温工作的改性苯基类硅油。根据不同用途,甲基、羟基、乙烯基等不同官能团的苯基硅油都有很好的适用性。 用途方面:可以用于苯基类硅橡胶做结构化控制剂,同样可以作为室温固化的原料,乙烯基类可以作为硅橡胶的关键助剂,同时可以作为液体苯基硅胶的原料,也可以作为室温固化铂金硫化硅胶,甲基类可以作为扩散泵油、导热油、阻尼油等多方面使用。同时苯基硅油有一定的耐烧蚀性能,在航天军工方向有很好的应用。
产品特性
极高的折光率和透光性;
工作温度比其他油类更宽;
有良好的阻尼、辐照性能;
有很好的耐热性能;
高一致性,低挥发性,无异味,热稳定性极佳;
相关参数
